Open Access
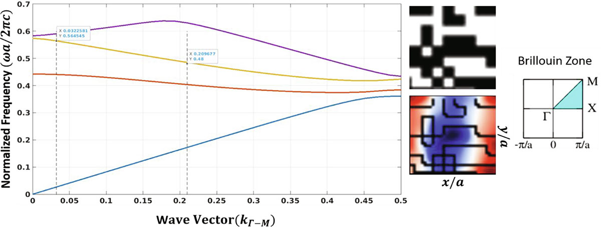
Figure 4

Download original image
For the optimized result, the normalized frequencies obtained from the Bloch wave solutions are plotted as a function of the wave vector. For the best-performing geometry, the mode profile of the third band corresponding to the normalized frequency ωa⁄2πc = 0.55 is illustrated.
Current usage metrics show cumulative count of Article Views (full-text article views including HTML views, PDF and ePub downloads, according to the available data) and Abstracts Views on Vision4Press platform.
Data correspond to usage on the plateform after 2015. The current usage metrics is available 48-96 hours after online publication and is updated daily on week days.
Initial download of the metrics may take a while.
