Fig. 1
Download original image
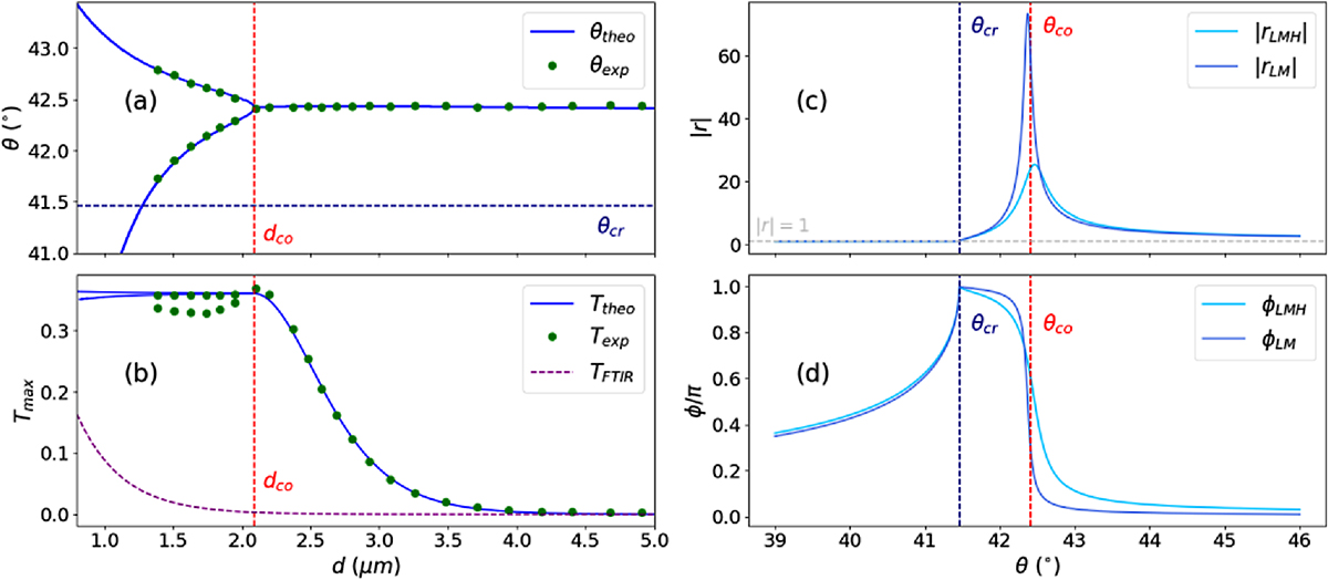
(a) Angle of incidence at which the transmittance of each CSP is maximum as a function of cavity thickness. (b) Maximum transmittance at each CSP resonance peak as a function of cavity thickness, FTIR transmission at θco without Ag for comparison. (c) Modulus and (d) phase of rLMH (lighter) and rLM (darker) as functions of the incident angle. All results correspond to a setup using silver as metal (dM = 39 nm), BK7 as prism and air filling the gap between the mirrors, at λ = 800 nm.
Current usage metrics show cumulative count of Article Views (full-text article views including HTML views, PDF and ePub downloads, according to the available data) and Abstracts Views on Vision4Press platform.
Data correspond to usage on the plateform after 2015. The current usage metrics is available 48-96 hours after online publication and is updated daily on week days.
Initial download of the metrics may take a while.
