Fig. 3
Download original image
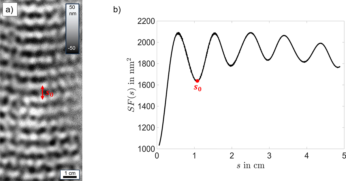
a) Digital holographic image of GUW on the surface of an aluminum sample of 32.0 cm × 9.4 cm × 2.6 cm resulting from a piezo excitation with fExc = 200 kHz. b) By statistical analysis of the measured height distribution with the SF, the wavelength of the GUW is given by the position of the first local minimum at s0 = 10.7 ± 0.8 mm. Overall, the multidirectional SF makes a periodicity visible, despite the superposition of various waves on the surface.
Current usage metrics show cumulative count of Article Views (full-text article views including HTML views, PDF and ePub downloads, according to the available data) and Abstracts Views on Vision4Press platform.
Data correspond to usage on the plateform after 2015. The current usage metrics is available 48-96 hours after online publication and is updated daily on week days.
Initial download of the metrics may take a while.
